شیوه تولید در نظریه مارکس چیست؟
شیوه تولید در نظریه مارکس
شیوه تولید در نظریه مارکس یکی از بنیادیترین و تعیینکنندهترین مفاهیم برای درک روند تحولات اجتماعی، اقتصادی و تاریخی جوامع انسانی است. مارکس با ارائه این مفهوم، چارچوبی تحلیلی به دست میدهد که در آن، چگونگی سازمانیابی تولید مادی، روابط اجتماعی پیرامون تولید، و تغییرات در ساختار جامعه، تبیین میشوند.
در نگاه مارکس، تاریخ بشر چیزی جز تاریخ دگرگونیهای پیاپی در شیوههای تولید نیست؛ یعنی تغییر در شیوه تولید موتور اصلی حرکت تاریخ به جلو به شمار میآید.
تعریف دقیق شیوه تولید در نظریه مارکس
شیوه تولید در نظریه مارکس به مجموعهای سازمانیافته از روابط اجتماعی و فرآیندهای تکنیکی گفته میشود که در چارچوب آن، کالاها و خدمات به منظور پاسخگویی به نیازهای مادی انسانها تولید میشوند. این مفهوم در اندیشه مارکس، نه صرفاً به معنای شیوههای فنی تولید، بلکه به معنای درهمتنیدگی شرایط مادی تولید و مناسبات اجتماعی ناشی از آن است.
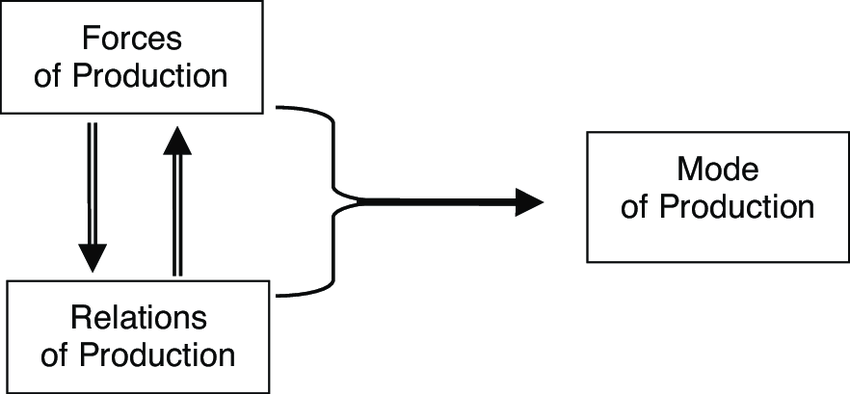
شیوه تولید در نظریه مارکس از دو بخش به هم پیوسته و مکمل تشکیل میشود:
- نیروهای مولد: این بخش شامل همه عواملی است که مستقیماً در فرآیند تولید نقش دارند. نیروهای مولد عبارتاند از ابزارهای تولید (مانند ابزارهای کار، ماشینآلات، فناوری و زمین) و همچنین نیروی انسانی که با مهارتها، تخصص و تواناییهای خود در این فرآیند مشارکت میکند. به باور مارکس، رشد نیروهای مولد یکی از نیروهای محرکه اصلی تحولات اجتماعی است.
- روابط تولید: این بخش به شیوههای سازمانیابی اجتماعی تولید اشاره دارد، یعنی به نحوه رابطه افراد و گروهها در جریان تولید و توزیع محصولات. روابط تولید، مالکیت یا عدم مالکیت ابزار تولید و نحوه توزیع دستاوردهای تولیدی را مشخص میکند. برای نمونه، در یک نظام سرمایهداری، کارگران نیروی کار خود را به صاحبان سرمایه میفروشند و دستمزد دریافت میکنند، در حالی که سود حاصل از تولید در اختیار سرمایهداران قرار میگیرد.
در نظریه مارکس، این ترکیب دیالکتیکی نیروهای مولد و روابط تولید، ساختار زیربنایی هر جامعه را میسازد. زیربنا نه تنها شیوه سازمانیابی اقتصادی را تعیین میکند، بلکه بر تمام عرصههای روبنایی جامعه مانند سیاست، حقوق، فرهنگ، ایدئولوژی و دین تأثیرگذار است. به عبارت دیگر، نظامهای سیاسی، ارزشهای اخلاقی، باورهای مذهبی و حتی هنر و ادبیات یک جامعه، بازتابی از شیوه تولید حاکم در آن هستند.
مارکس استدلال میکند که هرگاه نیروهای مولد به مرحلهای از رشد برسند که روابط تولید موجود مانع توسعه بیشتر آنها شود، تضادهایی شکل میگیرد که زمینهساز دگرگونیهای اجتماعی و گذار به شیوه تولیدی نوین میشود. به این ترتیب، تاریخ بشر از نظر مارکس، تاریخ تحولات و دگرگونیهای مداوم در شیوههای تولید است که هر بار ساختارهای اقتصادی و اجتماعی تازهای را پدید میآورد.
از این منظر، شناخت دقیق شیوه تولید در هر دوره تاریخی، برای فهم بنیادین تحولات اجتماعی، اقتصادی و حتی فرهنگی آن دوره ضروری است. به همین دلیل، شیوه تولید در نظریه مارکس جایگاهی محوری در تحلیلهای مارکسیستی از جوامع دارد و همچنان یکی از ابزارهای اصلی در نقد مناسبات سرمایهداری و بررسی امکانهای تغییر اجتماعی به شمار میآید.
اهمیت شیوه تولید در نظریه مارکس برای فهم تاریخ
شیوه تولید در نظریه مارکس چارچوبی فراهم میکند که بر مبنای آن، تاریخ بشر نه بر اساس افسانهها، قهرمانپرستی یا ارادههای فردی، بلکه بر پایه تحلیل مادی روندهای اجتماعی و اقتصادی تبیین شود. در این نگرش، تاریخ مجموعهای از رویدادهای تصادفی یا دستاوردهای شخصیتهای برجسته نیست، بلکه تجلی دیالکتیکی تضادهای موجود میان نیروهای مولد و روابط تولید در بستر هر جامعه تاریخی است.
مارکس با تکیه بر مفهوم شیوه تولید، تاریخ را به صورت روندی منظم و قابل تحلیل بازسازی میکند، جریانی که در آن، تغییرات در نحوه تولید مادی، اساس تغییرات در ساختارهای سیاسی، حقوقی، فرهنگی و ایدئولوژیک را رقم میزند. از دیدگاه او، هرگاه نیروهای مولد به سطحی از توسعه برسند که دیگر با روابط تولیدی موجود قابل انطباق نباشند، این تناقضات اجتماعی به شکل بحرانهایی بروز میکند که سرانجام به تحول شیوه تولید و گذار به نظم اجتماعی نوینی منجر میشود.
این تحلیل مادی از تاریخ، تاریخنگاری را از سطح توصیف سطحی رویدادها به سطحی از تحلیل علل بنیادی ارتقا میدهد. به عنوان مثال، فروپاشی فئودالیسم و ظهور سرمایهداری نه ناشی از دسیسههای سیاسی یا تغییر اراده پادشاهان، بلکه نتیجه رشد نیروهای مولد، تحول در مناسبات مالکیت و نیاز به شکلهای جدید سازمانیابی اقتصادی بود. در همین چارچوب، تغییرات بزرگ اجتماعی نظیر انقلابهای سیاسی، جنگهای طبقاتی و تحولات فرهنگی نیز به عنوان پیامدهای منطقی تغییر در شیوه تولید تبیین میشوند.
به بیان دیگر، در نظریه مارکس، شیوه تولید کلید فهم تاریخ است. بدون شناخت شیوه تولید غالب در هر دوره، درک چرایی تحولات سیاسی، اجتماعی و فکری آن دوره ممکن نیست. این نگرش همچنین امکان پیشبینی مسیرهای احتمالی آینده را نیز فراهم میآورد، زیرا با مطالعه تحولات در نیروهای مولد و روابط تولید، میتوان روندهای تغییر اجتماعی آینده را تحلیل کرد.
از این رو، شیوه تولید در نظریه مارکس نه تنها ابزاری تحلیلی برای فهم گذشته است، بلکه چارچوبی نظری برای نقد وضعیت موجود و ترسیم مسیرهای تحول آتی جوامع نیز به شمار میآید.

مراحل تاریخی شیوه تولید در نظریه مارکس
نظریه مارکس در مورد تحول تاریخ بشر بر اساس تغییرات بنیادی در شیوههای تولید استوار است. مارکس معتقد بود که تاریخ هر جامعه به واسطه شیوه تولید خاص آن تعریف میشود و تغییر در شیوههای تولید به تغییرات گسترده و عمیق در مناسبات اجتماعی، اقتصادی و سیاسی منجر میشود. در این چارچوب، مارکس مراحل تاریخی مشخصی را برای تحول شیوههای تولید و ساختارهای اجتماعی مرتبط با آن برشمرده است:
شیوه تولید اشتراکی اولیه
در نخستین جوامع انسانی، تولید به صورت جمعی و اشتراکی انجام میشد. در این دوره، هیچ مالکیت خصوصی بر ابزار تولید وجود نداشت و منابع طبیعی مانند زمین و آب به صورت مشترک در اختیار همه افراد قرار داشت. کار نیز به طور دستهجمعی و بر اساس همکاری انجام میشد و مفهوم طبقات اجتماعی به طور کامل پدیدار نشده بود. روابط اجتماعی در این مرحله مبتنی بر اشتراک و همکاری بود و تفاوتهای طبقاتی وجود نداشت.
شیوه تولید آسیایی یا استبداد شرقی
در این شیوه، مالکیت مشترک بر ابزار تولید هنوز مسلط بود و جوامع به شکل گروههای کوچک مانند خانوادهها تشکیل میشدند. در این جوامع، قدرت دولت بر تمامی گروهها و طبقات تسلط داشت و نظارت مرکزی دولت موجب ایجاد ساختار استبدادی شد. به دلیل شرایط جغرافیایی و کمبود منابع آب، دولتها قدرت مطلقهای داشتند که از بالا کنترل میکردند.
شیوه تولید ژرمنیک
جوامع در این شیوه تولید، براساس سنتهای تثبیت شده تولیدات صنعتی شکل میگرفتند. در این ساختار، تولیدات بهصورت ثابت و با رعایت الگوهای قدیمی و سنتی تنظیم میشدند. بهطور کلی، در این دوران، تولیدات صنعتی داخل قالبهایی که سابقهدار بودند، ظهور میکردند و ساختارهای اجتماعی بر اساس همین الگوهای سنتی سامان مییافتند.
شیوه تولید بردهداری
با پیشرفت تولید و تقسیم کار، پدیده مالکیت خصوصی ظهور کرد و به دنبال آن، شیوه تولید بردهداری شکل گرفت. در این شیوه، انسانها به عنوان نیروی کار برده به تملک افراد دیگر درمیآمدند. بردگان به عنوان ابزار زنده تولید برای اربابان کار میکردند و از هرگونه حق مالکیت یا استقلال محروم بودند. این شیوه تولید بنیانگذار جوامع باستانی مانند یونان و روم بود. در این مرحله، روابط اجتماعی به طور کامل تحت تأثیر مالکیت خصوصی و استثمار قرار گرفت.
شیوه تولید فئودالی
پس از فروپاشی نظامهای بردهداری و تغییرات اقتصادی و اجتماعی در دوران قرون وسطی، شیوه تولید فئودالی شکل گرفت. در این نظام، زمین به عنوان مهمترین وسیله تولید تحت مالکیت اربابان فئودال قرار داشت.
دهقانان (سرفها) در ازای اجازه استفاده از زمین، موظف به پرداخت بخشی از محصول خود یا خدمات معین به اربابان بودند. روابط اجتماعی در این دوره عمدتاً مبتنی بر وابستگی شخصی و سلسلهمراتبی بود که ساختار اجتماعی را به شدت تحت تأثیر قرار میداد.
شیوه تولید سرمایهداری
با انقلاب صنعتی و رشد شهرها و بازارهای جهانی، شیوه تولید سرمایهداری جایگزین فئودالیسم شد. در این نظام، ابزار تولید در مالکیت خصوصی سرمایهداران قرار داشت و کارگران به عنوان افراد “آزاد”، نیروی کار خود را در بازار کار میفروختند.
تولید در سرمایهداری بر اساس سودجویی و بهرهبرداری از نیروی کار سازماندهی میشود. در این شیوه، روابط اجتماعی بر مبنای مبادله کالاها و نیروی کار شکل میگیرد و تضادهای طبقاتی میان سرمایهداران و کارگران بروز میکند. سرمایهداری، پایه و اساس جهان مدرن را تشکیل میدهد.
شیوه تولید سوسیالیستی (آرمان مارکس)
مارکس در چشمانداز آینده خود، جامعهای را پیشبینی میکرد که در آن، مالکیت خصوصی بر ابزار تولید از بین رفته و مالکیت اجتماعی جایگزین آن شود. در این جامعه، هدف اصلی از تولید، رفع نیازهای انسانی و نه کسب سود خواهد بود. تولید به صورت جمعی و آگاهانه سازماندهی میشود و هر فرد میتواند به شکلی آزادانه و خلاقانه در تولید اجتماعی مشارکت کند.
در این جامعه بیطبقه، آزادی فردی و همبستگی اجتماعی به طور همزمان تحقق خواهند یافت. در نهایت، جامعه سوسیالیستی به صورت بیطبقه و بدون استثمار ظهور میکند.
شیوه تولید آسیایی: مورد خاص در تحلیل مارکس
شیوه تولید آسیایی یکی از مفاهیم پیچیده و بحثبرانگیز در تحلیل مارکس است که بهویژه در رابطه با جوامع آسیایی مطرح میشود. این مفهوم از آنجایی که با ویژگیهای خاص جوامع آسیایی در ارتباط است، برخلاف شیوههای تولید متعارف مانند فئودالیسم یا سرمایهداری، تفاوتهایی در نحوه سازماندهی اقتصادی و اجتماعی این جوامع دارد.
مارکس این شیوه تولید را بهعنوان یک مورد خاص در تاریخ جوامع انسانی معرفی کرد و بهطور ویژه در تحلیل تاریخ اجتماعی و اقتصادی آسیای شرقی و جنوبی بهکار برد.
ویژگیها
- عدم وجود مالکیت خصوصی بر زمین: یکی از ویژگیهای بارز شیوه تولید آسیایی در تحلیل مارکس، این است که در بسیاری از جوامع آسیایی زمین متعلق به دولت است و نه به افراد یا مالکین خصوصی. این به این معناست که مالکیت خصوصی بر زمین که در جوامع فئودالی و سرمایهداری امری رایج است، در شیوه تولید آسیایی وجود ندارد. در این جوامع، دولت یا حاکمان مرکزی کنترل زمین را در دست دارند و تولید زمین بهطور عمده برای تأمین نیازهای عمومی و اجتماعی انجام میشود.
- جوامع روستایی خودکفا با تولید محدود برای مصرف داخلی: در شیوه تولید آسیایی، جوامع بهویژه جوامع روستایی، خودکفا هستند و تولیدات خود را بیشتر برای مصرف داخلی و نیازهای محلی تولید میکنند. این جوامع معمولاً وابسته به بازارهای جهانی یا تجارت بینالمللی نیستند و تولیدات خود را صرفاً برای تأمین نیازهای اساسی مردم خود تولید میکنند. این خودکفایی محدود میتواند به معنای عدم ارتباط و تعامل با اقتصادهای بزرگتر باشد.
- دولت متمرکز با نقش مدیریت منابع آب و آبیاری: در بسیاری از جوامع آسیایی با شیوه تولید خاص خود، بهویژه در مناطقی مانند ایران باستان، دولت نقش بسیار مهمی در مدیریت منابع طبیعی، بهویژه منابع آب و آبیاری، ایفا میکند. در این جوامع، کشاورزی و تولیدات کشاورزی وابسته به مدیریت منابع آبی است، و دولتها برای تأمین نیازهای کشاورزان و حفظ منابع آبی، سیستمهای آبیاری پیچیدهای را ایجاد میکنند. این تمرکز بر منابع آبی باعث میشود که دولتها نفوذ زیادی در زندگی اقتصادی و اجتماعی مردم داشته باشند.
انتقادات
- چالشها در تطبیق با مدل مارکسیستی خطی: یکی از انتقاداتی که به تحلیل مارکس از شیوه تولید آسیایی وارد است، این است که برخی مارکسیستها مانند استالین و دیگر تحلیلگران شوروی، شیوه تولید آسیایی را نادیده گرفتند و آن را در قالب جوامع فئودالی یا بردهداری گنجاندند. این کار بهویژه بهمنظور تطبیق جوامع آسیایی با الگوی «پنج مرحلهای» مارکس از تاریخ اجتماعی صورت گرفت که در آن جوامع باید از یک مرحله ابتدایی (کمون اولیه) به مرحلههای بعدی از جمله فئودالیسم و سرمایهداری میرسیدند.
- انتقاد به عدم انعطافپذیری در مدل مارکسیستی: منتقدان معتقدند که تحلیل مارکس از شیوه تولید آسیایی بهطور کلی از انعطافپذیری لازم برای تحلیل تفاوتهای فرهنگی و تاریخی جوامع مختلف برخوردار نبوده و مدل خطی مارکسیستی نمیتواند تمامی پیچیدگیها و ویژگیهای خاص جوامع آسیایی را توضیح دهد. در این تحلیل، مارکس تأکید بیشتری بر ساختارهای اقتصادی جوامع غربی و مسیر تکامل آنها داشت و جوامع شرقی را بر اساس تجربیات خاص خود تحلیل نکرد.
شیوه تولید در نظریه مارکس و نقش آن در روبنای اجتماعی
مارکس معتقد بود که شیوه تولید، بنیان اقتصادی یا «زیربنا»ی هر جامعه را تشکیل میدهد. این زیربنا چارچوبی است که تمامی نهادهای سیاسی، حقوقی، فرهنگی، دینی و آموزشی ـ که به طور کلی «روبنا» نامیده میشوند ـ بر آن استوارند.
به عبارت دیگر، شیوهای که در آن کالاها و خدمات تولید میشوند و روابط اجتماعی تولید شکل میگیرند، تعیین میکند که چه نوع نظام سیاسی برقرار باشد، چه قوانینی وضع شود، چه ارزشهای فرهنگی ترویج یابد، و چه باورهای دینی غالب شوند.
بر این اساس، تغییر در شیوه تولید نه تنها ساختار اقتصادی بلکه کلیت حیات اجتماعی را دگرگون میکند. برای نمونه، گذار از شیوه تولید فئودالی به سرمایهداری صرفاً به معنای تحول در شیوه مالکیت بر زمین یا نحوه تولید کالا نبود؛ بلکه مفاهیم بنیادی مانند آزادی فردی، برابری حقوقی، دموکراسی پارلمانی، حقوق بشر و نقش دولت نیز دگرگون شد.
در این دیدگاه، روبنا هرچند میتواند بر زیربنا تأثیر متقابل داشته باشد، اما در نهایت، تحولات اساسی و پایدار از دگرگونی در شیوه تولید آغاز میشوند.

نقد سرمایهداری بر مبنای شیوه تولید در نظریه مارکس
در چارچوب نظریه مارکس، نقد سرمایهداری به طور مستقیم از تحلیل شیوه تولید آن ناشی میشود. مارکس سرمایهداری را به عنوان مرحلهای مشخص از تکامل تاریخی شیوههای تولید مینگریست که با تضادهای بنیادی درونی خود، محکوم به بحران و نهایتاً فروپاشی است.
در نظام سرمایهداری، تولید نه برای پاسخ به نیازهای واقعی انسانها، بلکه برای کسب سود صورت میگیرد. در این شیوه تولید، انگیزه اصلی سرمایهداران از بهکارگیری نیروی کار، حداکثرسازی ارزش اضافی است؛ یعنی تفاوت میان ارزش کالاهایی که کارگران تولید میکنند و دستمزدی که در مقابل کارشان دریافت میکنند.
این استثمار سیستماتیک، زیربنای کل مناسبات سرمایهداری را شکل میدهد و سبب میشود طبقه کارگر، نیروی مولد اصلی جامعه، از ثمره کار خود بیبهره بماند.
مارکس همچنین سرمایهداری را نظامی ذاتاً ناپایدار میدانست که درون آن، تضاد میان نیروهای مولد و روابط تولید پیوسته شدت میگیرد. از یک سو، پیشرفت تکنولوژیکی و گسترش نیروهای مولد باعث افزایش توان تولیدی جامعه میشود، اما از سوی دیگر، مناسبات سرمایهدارانه که بر مالکیت خصوصی ابزار تولید و سودجویی فردی استوار است، مانع بهرهبرداری کامل و عادلانه از این تواناییها میشود.
این تضاد موجب بروز بحرانهای ادواری اقتصادی مانند رکود، بیکاری گسترده و نابودی سرمایه میشود؛ بحرانهایی که نه حاصل عوامل خارجی، بلکه نتیجه ضروری ساختار درونی سرمایهداری هستند.
به اعتقاد مارکس، این بحرانهای ادواری، که به طور منظم تکرار میشوند، نشانههایی از روند تدریجی فرسایش سرمایهداریاند. او پیشبینی میکرد که انباشت نابرابری، تشدید تضاد طبقاتی و رشد آگاهی طبقاتی در نهایت زمینهساز انقلاب اجتماعی خواهد شد.
در این انقلاب، کارگران به عنوان طبقهای که نیروی کار را به حرکت درمیآورد اما از نتایج آن محروم است، سلطه سرمایه را در هم میشکنند و به سوی استقرار شیوه تولیدی جدید یعنی سوسیالیسم حرکت خواهند کرد.
در نتیجه، در نظریه مارکس، نقد سرمایهداری نه صرفاً به دلایل اخلاقی یا انسانی، بلکه بر مبنای تحلیل علمی از تضادهای ساختاری شیوه تولید سرمایهداری استوار است. این نقد نشان میدهد که سرمایهداری مرحلهای گذرا در تاریخ بشر است و تحول آن به نظامی عادلانهتر و انسانیتر، ضرورتی ناشی از پویایی درونی خود این نظام است.
تضاد طبقاتی و مبارزه طبقاتی
طبق نظر مارکس، تاریخ تمام جوامع انسانی، تاریخ مبارزه طبقاتی است. این مبارزه میان طبقات مختلف، که بهویژه بر اساس دسترسی به ابزارهای تولید و منابع اقتصادی شکل میگیرد، موتور پیشرفت اجتماعی و تاریخی است. مارکس بر این باور بود که در هر جامعهای، نیروهای متضادی وجود دارند که بهطور طبیعی در کشمکش با یکدیگر قرار دارند. این نیروها در واقع نماینده طبقات مختلف اجتماعی هستند که منافع متفاوت و گاهی متناقض دارند. این تضادها و کشمکشها در نهایت موجب تغییرات ساختاری و تحولات اقتصادی و سیاسی در جامعه میشود.
مارکس بهطور خاص بر نقش مبارزه طبقاتی در دگرگونیهای اجتماعی تأکید میکند. او باور داشت که این کشمکشها نه تنها موجب تغییرات در روابط تولید و اقتصاد میشوند، بلکه تأثیر عمیقی بر فرهنگ، سیاست و ساختار اجتماعی نیز دارند. از نظر مارکس، پیشرفت تاریخی نه از طریق رشد تدریجی و آرام بلکه از طریق نبردهای طبقاتی و انقلابهای اجتماعی به دست میآید.
حرکت تضادی در شیوه تولید
در نظریه مارکس، تغییر و گذار از یک شیوه تولید به شیوهای دیگر، نه بر اثر تصمیمهای ارادی یا اتفاقهای تصادفی، بلکه از دل تضادهای درونی همان شیوه تولید صورت میگیرد. به بیان دیگر، هر شیوه تولید در درون خود حامل نیروهایی است که نهایتاً موجب فروپاشی و جایگزینی آن میشوند.
برای مثال، در نظام سرمایهداری، تضاد اصلی میان طبقه سرمایهدار (که مالک ابزار تولید است) و طبقه کارگر (که تنها نیروی کار خود را میفروشد) شکل میگیرد.
سرمایهدار در پی افزایش سود است و کارگر برای بهبود شرایط زندگی خود مبارزه میکند. این تضاد منجر به بحرانهای اقتصادی، نابرابریهای شدید، گسترش اعتصابها، و در نهایت حرکتهای انقلابی میشود.
از دیدگاه مارکس، این روند دیالکتیکی ـ یعنی حرکت از تضاد به بحران و از بحران به دگرگونی ـ نیروی محرکه تغییرات تاریخی و انتقال از یک شیوه تولید به شیوه تولید جدید است. هر شیوه تولید بذرهای زوال خود را در دل خویش میپروراند و این روند، تاریخ را به پیش میراند.
طبقۀ اجتماعی و آگاهی طبقاتی
مارکس برای تبیین موقعیت و نقش طبقات اجتماعی در جامعه، مفاهیم “طبقه در خود” و “طبقه برای خود” را معرفی کرد. “طبقه در خود” به گروههایی اطلاق میشود که شرایط اجتماعی لازم برای تشکیل یک طبقه را دارند، ولی از منافع مشترک خود آگاهی ندارند. این طبقه ممکن است در فرآیند تولید کار کنند، اما تا زمانی که آگاهی طبقاتی پیدا نکنند، قادر به شناسایی تضادها و منافع خود نیستند.
در مقابل، “طبقه برای خود” به طبقهای اشاره دارد که اعضایش از منافع مشترک خود آگاهی پیدا کردهاند و این آگاهی به آنها کمک میکند تا نسبت به وضعیت خود و موقعیتشان در جامعه آگاه شوند. این آگاهی طبقاتی موجب میشود که اعضای این طبقه در مبارزه برای حقوق خود و تغییرات اجتماعی فعال شوند. به عبارت دیگر، آگاهی طبقاتی برای مارکس شرط لازم برای تبدیل شدن یک طبقه به یک نیروی اجتماعی مؤثر در تغییرات ساختاری است.
تحلیل مارکس از آگاهی طبقاتی
آگاهی طبقاتی در نظریه مارکس بهعنوان یک عامل کلیدی در شکلگیری کشمکشهای طبقاتی و تحولات اجتماعی مطرح میشود. طبق نظر مارکس، طبقات اجتماعی به دلیل موقعیتشان در فرآیند تولید و دسترسی به ابزارهای تولید، منافع ویژهای دارند.
این منافع بهطور طبیعی موجب تضادهای طبقاتی و در نهایت کشمکشها میشود. بهویژه، طبقات حاکم (بورژوازی) از قدرت سیاسی و ایدئولوژی استفاده میکنند تا منافع خود را در جامعه تثبیت کنند و از تغییرات و تحولاتی که ممکن است منافعشان را تهدید کند، جلوگیری کنند.
مارکس بر این باور بود که بورژوازی به دلیل رقابت داخلی میان اعضای آن نمیتواند به آگاهی طبقاتی مشترک دست یابد. رقابت میان سرمایهداران، که بهطور طبیعی در درون سیستم سرمایهداری رخ میدهد، موجب میشود که این طبقه نتواند به یک وحدت و همبستگی واقعی برسد. در نتیجه، همانطور که مارکس پیشبینی میکرد، این تضاد داخلی و نابسامانیهای موجود در ساختار اقتصادی، به تدریج سرمایهداری را به سمت نابودی هدایت میکند.
نقش دولت و ابزار تولید
مارکس در تحلیل خود، نقش دولت و ایدئولوژی را بسیار مهم میداند. طبق نظر مارکس، دولت بهعنوان ابزاری برای طبقه حاکم عمل میکند تا منافع آن طبقه را در جامعه حفظ کند.
دولت نه تنها برای ترویج منافع اقتصادی طبقه حاکم بلکه برای تثبیت روابط طبقاتی و جلوگیری از تغییرات انقلابی در جامعه عمل میکند. این ایدئولوژیهای حاکم، که غالباً توسط نهادهای دولتی و فرهنگی به مردم منتقل میشود، بهطور گسترده در جهت حفظ ساختارهای موجود و سلطه طبقه حاکم عمل میکنند.
در این میان، مارکس معتقد بود که روابط میان انسانها در جوامع طبقاتی به میزان دسترسی آنها به ابزارهای تولید بستگی دارد. دسترسی نابرابر به این منابع، که معمولاً در اختیار طبقات بالایی قرار دارد، موجب میشود که تضاد طبقاتی در جامعه تشدید شود. در نتیجه، طبقات پایینتر از لحاظ اقتصادی، اجتماعی و سیاسی تحت فشار و استثمار قرار میگیرند. این تضادهای ساختاری میتوانند موجب بروز ناآرامیها و تغییرات اجتماعی شوند که در نهایت به تحولاتی در شیوه تولید و ساختار اجتماعی منتهی میگردد.

نقش شیوه تولید در انقلاب و گذار به سوسیالیسم
در نظریه مارکس، شیوه تولید و روابط تولید، عامل تعیینکننده در شکلگیری ساختار اجتماعی و اقتصادی جوامع هستند. او باور داشت که هر شیوه تولیدی که در جامعه حاکم است، در نهایت در پی تضادهای درونی خود دچار بحران شده و به تغییرات بنیادی منجر میشود.
در مورد سرمایهداری، مارکس پیشبینی میکرد که این شیوه تولید به دلیل تضادهایی که در درون خود دارد، در نهایت جای خود را به سوسیالیسم خواهد داد. این گذار، بهویژه از طریق انقلاب پرولتاریایی و تغییر در مالکیت ابزار تولید، امکانپذیر است.
انقلاب پرولتاریایی
در سرمایهداری، طبقه کارگر یا پرولتاریا بهعنوان نیروی تولیدی اصلی در جامعه بهشمار میرود، اما قدرت سیاسی و اقتصادی در دست طبقه بورژوازی (سرمایهداران) است. مارکس معتقد بود که طبقه کارگر، با درک موقعیت استثماری خود، به تدریج به آگاهی طبقاتی دست خواهد یافت و در نهایت انقلاب خواهد کرد.
در این انقلاب، کارگران مالکیت ابزار تولید را به دست میگیرند و از این طریق سیستم اقتصادی سرمایهداری را برچیده و بهجای آن یک سیستم اقتصادی سوسیالیستی بنیانگذاری میکنند.
این انقلاب پرولتاریایی بر اساس اصولی است که بهطور بنیادی اقتصاد و جامعه را تغییر میدهد. کارگران، که در سیستم سرمایهداری بهعنوان نیروی کار استثمار میشوند، با به دست گرفتن ابزار تولید میتوانند کنترل اقتصاد را در دست خود بگیرند. این تغییر در مالکیت ابزار تولید، منجر به ایجاد یک سیستم اقتصادی جدید میشود که در آن تولید نه برای سود و انباشت سرمایه، بلکه برای تأمین نیازهای انسانی سازماندهی میشود.
لغو مالکیت خصوصی
یکی از اصول بنیادین در گذار به سوسیالیسم، لغو مالکیت خصوصی بر ابزار تولید است. در نظام سرمایهداری، مالکیت خصوصی به طبقه بورژوازی امکان میدهد که تولید را در دست بگیرد و از آن به نفع خود بهرهبرداری کند. مارکس و انگلس باور داشتند که تنها با لغو مالکیت خصوصی و انتقال آن به جامعه، میتوان از استثمار طبقات پایین جلوگیری کرد.
در سوسیالیسم، تمرکز بر مالکیت اجتماعی و برنامهریزی اقتصادی است. این به معنای آن است که ابزار تولید در اختیار جامعه قرار میگیرد و اداره آن از طریق تصمیمگیریهای جمعی و طبق نیازهای واقعی افراد انجام میشود. هدف این سیستم، تأمین نیازهای همگانی است و نه تأمین سود برای اقلیت سرمایهدار. این تغییر در مالکیت خصوصی، اساساً در راستای برابری و عدالت اجتماعی قرار دارد.
کمونیسم به عنوان مرحله نهایی
کمونیسم، بهعنوان مرحله نهایی تحولی که از سوسیالیسم ناشی میشود، در نظریه مارکس بهعنوان جامعهای بدون طبقات، بدون پول و بدون دولت مطرح است. مارکس تصور میکرد که پس از گذار از سوسیالیسم، در نهایت جامعهای شکل خواهد گرفت که در آن هیچگونه شکاف طبقاتی وجود نخواهد داشت. در این جامعه، نیازهای انسانی بهجای سود و انباشت سرمایه تعیینکنندهند.
در کمونیسم، تولید بهطور مستقیم بر اساس نیازهای انسانی سازماندهی میشود. در این مرحله، روابط اجتماعی بر پایه همکاری و همبستگی خواهد بود و هیچگونه سلطه یا استثماری بر طبقات دیگر وجود نخواهد داشت. دولت که در سیستمهای طبقاتی نقش سرکوب و حفظ نظم را بر عهده دارد، در کمونیسم از میان میرود، زیرا طبق نظر مارکس، با برچیده شدن طبقات اجتماعی، دیگر نیازی به دستگاه دولتی برای حفظ نظم نیست.
نتیجهگیری
شیوه تولید در نظریه مارکس نه تنها چارچوبی برای درک تحول تاریخی جوامع انسانی است، بلکه ابزاری برای تحلیل عمیق نابرابریها، بحرانها و پویاییهای اجتماعی به شمار میآید. مارکس با ارائه این نظریه، نشان داد که تحولات اقتصادی و اجتماعی، تصادفی یا فردمحور نیستند، بلکه حاصل ضرورتهای تاریخی، تضادهای ساختاری و پویاییهای مادی جوامع هستند.
تبیین مارکس از شیوه تولید همچنان یکی از پرنفوذترین نظریهها در تحلیلهای اجتماعی، اقتصادی و سیاسی جهان معاصر است و الهامبخش بسیاری از جنبشها و پژوهشها در سرتاسر جهان بوده است.
دیدگاهتان را بنویسید
برای نوشتن دیدگاه باید وارد بشوید.