رقابت کورنو چیست؟
مدل کورنو Cournot Competition
رقابت کورنو (Cournot Competition) یک مدل اقتصادی است که برای تحلیل رفتار بنگاهها در بازارهای انحصار چندجانبه (Oligopoly) استفاده میشود. این مدل، که به نام اقتصاددان فرانسوی آنتونی آگوستین کورنو (Antoine Augustin Cournot) نامگذاری شده، در سال 1838 معرفی شد و یکی از پایهایترین مدلهای نظریه بازیها و اقتصاد صنعتی محسوب میشود. در این مدل، بنگاهها بهصورت همزمان و مستقل از یکدیگر مقدار تولید خود را انتخاب میکنند، و این تصمیم بر قیمت بازار و سود بنگاههای دیگر تأثیر میگذارد.
رقابت کورنو بهویژه در بازارهایی کاربرد دارد که تعداد محدودی بنگاه (معمولاً دو یا چند بنگاه) وجود دارند، محصولات مشابه یا همگن تولید میکنند، و هیچیک بهتنهایی نمیتوانند قیمت بازار را بهطور کامل تعیین کنند. این مدل رفتار استراتژیک بنگاهها را بررسی میکند و نشان میدهد چگونه تصمیمات هر بنگاه بر تعادل بازار تأثیر میگذارد.
رقابت کورنو مدلی است که رفتار بنگاهها در یک بازار انحصار چندجانبه را توصیف میکند، جایی که بنگاهها بهصورت همزمان مقدار تولید خود را انتخاب میکنند و این مقدار تولید بر قیمت بازار تأثیر میگذارد. برخلاف بازار انحصار کامل (Monopoly) که یک بنگاه تمام بازار را کنترل میکند یا بازار رقابت کامل (Perfect Competition) که تعداد زیادی بنگاه بدون قدرت بازار وجود دارند، در رقابت کورنو تعداد محدودی بنگاه با قدرت بازار (Market Power) وجود دارند.
در این مدل، هر بنگاه فرض میکند که مقدار تولید بنگاههای دیگر ثابت است و بر اساس این فرض، تولید خود را بهگونهای تنظیم میکند که سود خود را بیشینه کند. نتیجهی این تصمیمگیریهای استراتژیک به یک تعادل نش (Nash Equilibrium) منجر میشود، جایی که هیچ بنگاهی انگیزهای برای تغییر یکجانبهی مقدار تولید خود ندارد، زیرا این تغییر سود آن را کاهش میدهد.
نکات کلیدی:
- در مدل کورنو، بنگاههای رقیب بهصورت مستقل و همزمان مقدار تولید خود را تعیین میکنند.
- این مدل زمانی به کار میرود که بنگاهها کالاهایی یکسان یا استانداردشده تولید میکنند.
- فرض بر این است که شرکتها نمیتوانند با یکدیگر تبانی یا کارتل تشکیل دهند.
- ایدهی واکنش یک بنگاه به تصمیم احتمالی رقیب، بخشی از نظریه رقابت کامل را شکل میدهد.
درک بهتر رقابت کورنو
بازارهایی که تعداد محدودی رقیب دارند را انحصار چندجانبه (الیگوپولی) مینامند. در چنین بازارهایی، شرکتها معمولاً با تلاش برای گرفتن سهم بازار از رقیب، با یکدیگر رقابت میکنند. یکی از روشهای این رقابت، تغییر میزان تولید است.
طبق قانون عرضه و تقاضا:
-
تولید بیشتر → کاهش قیمت
-
تولید کمتر → افزایش قیمت
بنابراین، هر بنگاه باید تصور روشنی از میزان تولید رقیب داشته باشد تا بتواند تصمیم بهینه برای حداکثرسازی سود خود بگیرد.
در مدل کورنو:
-
سودآوری هر بنگاه به تولید رقیب وابسته است.
-
تصمیم هر بنگاه بر قیمت بازار تأثیر میگذارد.
-
بنگاهها فرض میکنند که رقیب چه مقدار تولید خواهد کرد و بر اساس آن تصمیمگیری میکنند.
این مدل زمانی به کار میرود که:
-
بنگاهها کالایی یکسان تولید میکنند.
-
شرکتها از هزینههای تولید و تقاضای بازار آگاهاند.
-
هیچ توافق یا تبانی بین بنگاهها وجود ندارد.
پیشینه مدل کورنو
اوگوستن کورنو، ریاضیدان فرانسوی، در کتابی به نام “پژوهشهایی در اصول ریاضی نظریه ثروت” (1838)، نظریه رقابت کامل و مفهوم مدرن انحصار را مطرح کرد. مدل او با تحلیل رقابت میان دو تولیدکنندهی آب معدنی شکل گرفت.
نکته مهم:
مدل کورنو هنوز هم مدل استاندارد تحلیل رقابت در بازارهای الیگوپولی است و میتوان آن را به حالاتی با بیش از دو بنگاه نیز گسترش داد.
ایدههای کورنو بعدها توسط لئون والراس، اقتصاددان سوییسی، توسعه یافت. او را پدر اقتصاد ریاضی مدرن میدانند.
ویژگیهای اصلی رقابت کورنو
رقابت کورنو دارای ویژگیهای مشخصی است که آن را از سایر مدلهای رقابتی متمایز میکند:
- تعداد محدود بنگاهها: معمولاً دو یا چند بنگاه در بازار وجود دارند (اغلب برای سادگی، مدل با دو بنگاه تحلیل میشود).
- محصولات همگن: بنگاهها محصولاتی تولید میکنند که جانشین کامل یکدیگر هستند (یعنی مصرفکنندگان تفاوتی بین محصولات نمیبینند).
- تصمیمگیری همزمان: بنگاهها بهصورت همزمان و بدون اطلاع از تصمیمات یکدیگر، مقدار تولید خود را انتخاب میکنند.
- قدرت بازار: تصمیم هر بنگاه بر قیمت بازار تأثیر میگذارد، زیرا مجموع تولید همه بنگاهها قیمت را تعیین میکند.
- اطلاعات کامل: بنگاهها از تابع تقاضای بازار، هزینههای تولید خود و رقبا، و ساختار بازار اطلاع کامل دارند.
- عدم همکاری: بنگاهها با یکدیگر همکاری یا تبانی (Collusion) نمیکنند و بهصورت مستقل عمل میکنند.
- تعادل نش: نتیجهی رقابت به تعادلی منجر میشود که در آن هر بنگاه، با توجه به تولید بنگاههای دیگر، بهترین پاسخ (Best Response) را انتخاب کرده است.
پیشفرضهای مدل کورنو
برای درک بهتر مدل، لازم است با مفروضات آن آشنا باشیم:
- تعداد محدودی از بنگاهها در بازار فعالیت دارند (مثلاً ۲ یا ۳).
- کالاها همگن هستند (یعنی برای مصرفکننده تفاوتی بین کالاهای تولیدشده توسط بنگاهها وجود ندارد).
- بنگاهها به صورت همزمان مقدار تولید خود را انتخاب میکنند.
- هر بنگاه، مقدار تولیدی رقبا را ثابت و تغییرناپذیر فرض میکند.
- قیمت کالا بر اساس مجموع عرضه و تابع تقاضای نزولی بازار تعیین میشود.
- هزینه تولید میتواند صفر یا دارای ساختار خاصی باشد، اما معمولاً هزینه نهایی ثابت در نظر گرفته میشود.
مکانیسم رقابت در مدل کورنو
در مدل کورنو، هر شرکت با در نظر گرفتن مقدار تولیدی که انتظار دارد رقبایش تولید کنند، تصمیم میگیرد که چه مقدار تولید کند تا سود خود را به حداکثر برساند. از آنجایی که تصمیمگیری همزمان است، هر شرکت باید حدس بزند که رقبایش چه مقدار تولید خواهند کرد.
هر شرکت، با توجه به منحنی تقاضای بازار و ساختار هزینههای خود، یک تابع واکنش (Reaction Function) برای خود تعیین میکند. تابع واکنش نشان میدهد که بهترین مقدار تولید برای یک شرکت، به ازای هر مقدار تولید مفروض از سوی رقیب (یا مجموع تولید رقبا در صورت وجود بیش از دو شرکت) چیست.
تعادل کورنو-نش (Cournot-Nash Equilibrium) زمانی حاصل میشود که هر شرکت، با توجه به مقدار تولیدی که سایر شرکتها در تعادل تولید میکنند، بهترین پاسخ (مقدار تولید بهینه) را انتخاب کرده باشد. در این نقطه، هیچ شرکتی انگیزه ندارد که به طور یکجانبه مقدار تولید خود را تغییر دهد، زیرا این کار باعث کاهش سود آن خواهد شد.
فرمولها و تحلیل ریاضی رقابت کورنو
برای درک بهتر مدل کورنو، فرض کنید دو بنگاه (بنگاه 1 و بنگاه 2) در یک بازار انحصار دوجانبه فعالیت میکنند. مراحل تحلیل بهصورت زیر است:
1. تابع تقاضای بازار
تابع تقاضا معمولاً بهصورت خطی تعریف میشود:

که در آن:
- PP: قیمت بازار
- Q1Q1: مقدار تولید بنگاه 1
- Q2Q2: مقدار تولید بنگاه 2
- aa: حداکثر قیمتی که مصرفکنندگان حاضر به پرداخت آن هستند
- bb: شیب تابع تقاضا (حساسیت قیمت به تولید)
2. تابع هزینه
فرض میشود هر بنگاه هزینهی حاشیهای ثابت cc دارد، بنابراین تابع هزینه برای بنگاه ii بهصورت زیر است:
![]()
3. تابع سود
سود هر بنگاه برابر است با درآمد منهای هزینه:

برای بنگاه 1:

و برای بنگاه 2:

4. بیشینهسازی سود
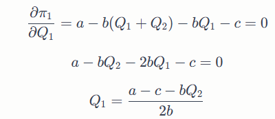
هر بنگاه سود خود را با انتخاب مقدار تولید بهینه (QiQi) بیشینه میکند، با فرض اینکه تولید بنگاه دیگر ثابت است. برای این کار، مشتق تابع سود نسبت به QiQi محاسبه و برابر صفر قرار داده میشود.
برای بنگاه 1:

این تابع، تابع بهترین پاسخ (Best Response Function) بنگاه 1 است.
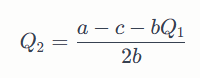
بهطور مشابه، برای بنگاه 2:

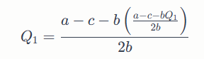
5. تعادل کورنو
برای یافتن تعادل، معادلات بهترین پاسخ بهصورت همزمان حل میشوند. با جایگذاری Q2Q2 در معادلهی Q1Q1:

پس از سادهسازی:

بهطور مشابه:

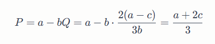
تولید کل بازار:

قیمت تعادلی:

سود هر بنگاه:

6. تعادل نش
نقطهی تعادل کورنو یک تعادل نش است، زیرا هیچ بنگاهی نمیتواند با تغییر یکجانبهی تولید خود سود بیشتری کسب کند.
مثالها
مثال 1: رقابت گلخانهها برای حداکثر کردن سود
در یک شهر کوچک، دو گلخانه به کشت گیاهان مشابه میپردازند. در دسامبر، گلخانه A فرض میکند که گلخانه B قرار است ۳۰,۰۰۰ گیاه گلدهنده پرورش دهد. بنابراین، گلخانه A تصمیم میگیرد ۱,۰۰۰ گیاه بیشتر از گلخانه B پرورش دهد تا سود بیشتری کسب کند.
این مثال نشاندهندهی کاربرد مدل کورنو در یک دوآپولی است که در آن کسبوکارها بهطور فعال حرکات یکدیگر را پیشبینی و به آن واکنش نشان میدهند.
مثال 2: مدل کورنو در صنعت مخابرات
مدل کورنو در بازار اپراتورهای موبایل اسلواکی در سال ۲۰۱۳ مورد استفاده قرار گرفت. سه بازیگر اصلی این بازار عبارت بودند از Orange Slovakia، Slovak Telecom و O2.
دادهها از گزارشهای سالانه و سوابق مالی بهدست آمد و خدمات موبایل بهعنوان جایگزینها در نظر گرفته شدند که از طریق درآمد متوسط هر کاربر (ARPU) اندازهگیری شدند. این تحقیق مدل کورنو را برای بررسی تصمیمگیری استراتژیک و رقابت بین تعداد کمی از شرکتها در یک بخش خاص بهکار برد.
تعادل کورنو
تعادل کورنو یک نوع تعادل نش (Nash Equilibrium) است. یعنی:
- هر بنگاه واکنش بهینهای نسبت به مقدار تولید رقیب نشان داده است.
- هیچیک از بنگاهها با فرض ثابت بودن تولید رقبا، انگیزهای برای تغییر مقدار تولید خود ندارد.
برای مثال، اگر دو بنگاه با هزینه نهایی یکسان داشته باشیم، تعادل کورنو به شکلی درمیآید که:
- قیمت نهایی بالاتر از رقابت کامل و پایینتر از انحصار کامل خواهد بود.
- مقدار تولید بیشتر از انحصار و کمتر از رقابت کامل خواهد بود.
کاربردهای مدل کورنو در دنیای واقعی
مدل کورنو میتواند در تحلیل رفتار بنگاهها در بازارهایی مثل موارد زیر استفاده شود:
- صنایع نفت و گاز، که چند شرکت بزرگ در عرضهی محصول نقش دارند.
- صنایع فولاد و سیمان، که شرکتهای معدودی بازار را کنترل میکنند.
- بازارهای انرژی الکتریکی، بهویژه در کشورهایی که خصوصیسازی انجام شده است.
- تولیدات شیمیایی یا دارویی، که محصولات همگن هستند و رقابت بین شرکتها بر سر مقدار تولید شکل میگیرد.
مثالهای عملی
- صنعت نفت: شرکتهای نفتی مانند اوپک و تولیدکنندگان غیراوپک (مانند روسیه) مقدار تولید خود را برای تأثیر بر قیمت جهانی نفت تنظیم میکنند. این رفتار مشابه رقابت کورنو است، زیرا هر تولیدکننده تولید خود را با توجه به تولید دیگران تنظیم میکند.
- بازار مخابرات: شرکتهای مخابراتی مانند ایرانسل و همراه اول در ایران مقدار ظرفیت خدمات (مانند پهنای باند) را انتخاب میکنند، که بر قیمت خدمات تأثیر میگذارد.
- تولید کالاهای همگن: تولیدکنندگان فولاد یا سیمان، که محصولات مشابهی تولید میکنند، میتوانند بهعنوان مثالهایی از رقابت کورنو در نظر گرفته شوند.
مزایا و معایب مدل رقابت کورنو
مزایا:
- مدلی واقعبینانهتر از رقابت کامل برای تحلیل بازارهای چندقطبی است، جایی که شرکتها قدرت بازار دارند.
- به شرکتها اجازه میدهد تا به طور استراتژیک در مورد مقدار تولید تصمیم بگیرند.
- مفهوم تعادل نش در این مدل به خوبی قابل اعمال است.
- میتواند برای تحلیل صنایع مختلف با تنظیم مفروضات (مانند توابع هزینه متفاوت) به کار رود.
معایب:
- فرض تصمیمگیری همزمان ممکن است در برخی صنایع واقعبینانه نباشد. در بسیاری از موارد، شرکتها تصمیمات خود را به صورت متوالی اتخاذ میکنند.
- فرض اطلاع کامل از تقاضا و هزینهها نیز ممکن است در عمل صادق نباشد.
- مدل ساده کورنو، رقابت در ابعاد دیگر مانند قیمت (در مدل برتراند)، تبلیغات یا تمایز محصول را در نظر نمیگیرد.
- در صورتی که تعداد شرکتها زیاد شود، تحلیل مدل پیچیدهتر میشود و نتایج به سمت رقابت کامل میل میکنند.
محدودیتها و انتقادات
رقابت کورنو با وجود اهمیت، محدودیتهایی دارد:
- مفروضات غیرواقعی:
- فرض محصولات همگن و اطلاعات کامل در بسیاری از بازارهای واقعی صادق نیست.
- فرض تصمیمگیری همزمان ممکن است با واقعیت بازارهایی که بنگاهها بهصورت متوالی تصمیم میگیرند، سازگار نباشد.
- عدم توجه به پویاییها:
- مدل کورنو یک مدل ایستا (Static) است و تغییرات در طول زمان (مانند ورود بنگاههای جدید) را در نظر نمیگیرد.
- عدم کارایی:
- تعادل کورنو معمولاً ناکارآمد است، زیرا تولید کمتر از سطح بهینهی اجتماعی است.
- وابستگی به محصولات همگن:
- اگر محصولات بنگاهها متفاوت باشند، مدل کورنو قابلاجرا نیست، و مدلهایی مانند برتراند مناسبتر هستند.
انتقادات وارد بر مدل کورنو
مدل کورنو گرچه پایهای و مهم است، اما دارای محدودیتهایی نیز هست:
- فرض همگن بودن کالاها در بسیاری از بازارها صادق نیست.
- فرض رفتار ایستا و همزمان، ممکن است با واقعیتهای بازار تطابق نداشته باشد.
- بیتوجهی به واکنشهای دینامیکی در طول زمان.
- در بسیاری از بازارها، تصمیمگیری درباره قیمت (نه فقط مقدار تولید) اهمیت دارد که توسط مدل برتراند بهتر پوشش داده میشود.
- در بازارهایی که شرکتها رهبر و دنبالهرو دارند، مدل استکلبرگ کاربرد بهتری دارد.
راههای بهبود مدل کورنو
برای رفع برخی محدودیتها، مدل کورنو بهصورتهای زیر گسترش یافته است:
- محصولات غیرهمگن: مدلهایی توسعه یافتهاند که تفاوت در محصولات را در نظر میگیرند.
- مدلهای پویا: مدلهای پویا (Dynamic) برای تحلیل تصمیمگیری در طول زمان معرفی شدهاند.
- ورود بنگاههای جدید: مدلهایی برای تحلیل اثرات ورود یا خروج بنگاهها به بازار توسعه یافتهاند.
- هزینههای متفاوت: مدلهایی با هزینههای حاشیهای متفاوت برای بنگاهها بررسی شدهاند.
الیگوپولی چیست؟
بازاری که در آن تعداد معدودی شرکت بزرگ بخش عمده بازار را در اختیار دارند. شرکتهای کوچکتر هم ممکن است فعال باشند، اما شرکتهای اصلی بازیگران غالب بازار هستند.
دوپولی چیست؟
حالتی خاص از الیگوپولی است که فقط دو بنگاه اصلی در بازار فعالیت میکنند. هر بنگاه رفتار خود را بر اساس پیشبینی از واکنش رقیب تنظیم میکند.
تعادل نش چیست؟
تعادل نش مفهومی در نظریه بازیهاست که میگوید: هیچ بازیکنی نمیتواند با تغییر استراتژی بهتنهایی، نتیجه بهتری برای خود رقم بزند. این مفهوم توسط جان نش، برنده جایزه نوبل اقتصاد در سال 1994، مطرح شد.
تحولات نظری نوین در اقتصاد رقابت
۱. مدلهای پویای رقابت:
- رقابت تکرارشونده: تحلیل رفتار بنگاهها در تعاملات بلندمدت و چندمرحلهای
- یادگیری تطبیقی: بررسی چگونگی سازگاری و اصلاح تصمیمات بنگاهها در گذر زمان
۲. تلفیق با نظریه بازیهای رفتاری:
- محدودیتهای عقلانیت: توجه به تصمیمگیریهای غیربهینهی بازیگران اقتصادی
- تأثیر سوگیریهای شناختی: نقش خطاهای ذهنی در رقابت، قیمتگذاری و استراتژیهای بازار
۳. کاربرد در اقتصاد دیجیتال:
- بازار پلتفرمها: تحلیل رقابت در بسترهای دوطرفه مانند تاکسیهای اینترنتی یا فروشگاههای آنلاین
- صنایع شبکهای: بررسی اثرات افزایش ارزش با گسترش کاربران (اثر شبکه)
۴. پیامدهای سیاستگذاری در بازارهای جدید:
-
تنظیم مقررات انحصار:
-
کنترل ادغامهای افقی برای جلوگیری از تمرکز قدرت
-
نظارت دقیق بر تبانی و رفتارهای ضد رقابتی
-
-
سیاستهای تشویق رقابت:
-
کاهش موانع ورود برای بنگاههای جدید
-
شفافسازی اطلاعات برای تقویت انتخاب آگاهانهی مصرفکنندگان
-
-
مداخلات قیمتی در شرایط خاص:
-
تنظیم قیمت در بازارهای حیاتی مانند انرژی یا دارو
-
مداخلات موقتی در شرایط بحرانی مانند بحرانهای مالی یا رکودهای شدید
-
مدل برتراند با دو بنگاه و هزینه نهایی متفاوت
در این حالت از مدل برتراند، دو بنگاه رقیب محصولی همسان (کاملاً جانشین) تولید میکنند، اما هزینه نهایی آنها متفاوت است. فرض میشود که هر بنگاه قیمت محصول خود را بهطور مستقل اعلام میکند و مصرفکنندگان همیشه از بنگاهی خرید میکنند که قیمت پایینتری ارائه دهد.
در این شرایط:
- بنگاهی که هزینه نهایی کمتری دارد، میتواند با اعلام قیمتی کمتر از هزینه نهایی رقیب، تمام تقاضای بازار را بهدست آورد.
- اگر قیمت انحصاری (قیمتی که بنگاه در نبود رقیب اعلام میکرد) پایینتر از هزینه نهایی رقیب باشد، آن را به عنوان قیمت فروش خود انتخاب میکند.
- اما اگر قیمت انحصاری بیشتر از هزینه رقیب باشد، بنگاه قیمت خود را طوری تنظیم میکند که بیشترین قیمتی باشد که هنوز کمتر از هزینه رقیب است، تا همچنان تقاضای بازار را جذب کند.
در نهایت:
- اگر فضای قیمتگذاری پیوسته باشد (یعنی هر عددی برای قیمت ممکن باشد)، این بازی تعادل نش ندارد، چون بنگاهها پیوسته انگیزه دارند قیمت را اندکی کاهش دهند.
- ولی اگر قیمتگذاری گسسته باشد (مثلاً فقط اعداد صحیح قابل استفاده باشند)، بیشترین قیمتی که کمتر از هزینه رقیب باشد، بهعنوان تعادل نش شناخته میشود.
رقابت کورنو در مقابل رقابت برتراند
| مؤلفه | رقابت کورنو | رقابت برتراند |
|---|---|---|
| تعریف | مدل اقتصادی که در آن شرکتها بر اساس تولید محصولات مشابه رقابت میکنند. | مدل اقتصادی که در آن شرکتها بر اساس قیمتگذاری برای محصولات مشابه رقابت میکنند. |
| استراتژی رقابت | شرکتها بهطور همزمان و مستقل مقدار تولید خود را تصمیم میگیرند و حجم تولید رقبای خود را در نظر میگیرند. | شرکتها قیمتها را بهطور همزمان و مستقل تنظیم میکنند و استراتژی قیمتگذاری رقبای خود را در نظر میگیرند. |
| عامل رقابتی | حجم تولید بهعنوان عامل رقابت | قیمت بهعنوان عامل رقابت |
| سطح تولید | سطح تولید در این مدل بین انحصار و رقابت کامل تغییر میکند. | سطح تولید بهطور کامل در رقابت کامل قرار میگیرد. |
| تأثیر بر قیمت | منجر به کاهش قیمتها به دلیل افزایش حجم تولید محصولات میشود. | قیمتها حول هزینه نهایی متمرکز میشود به دلیل رقابت شدید. |
مقایسه با سایر مدلهای رقابت
| مدل | تصمیمگیری دربارهی | همزمان / ترتیبی | قیمت بازار | مثال |
|---|---|---|---|---|
| کورنو | مقدار تولید | همزمان | بین رقابت کامل و انحصار | بازار برق |
| برتراند | قیمت | همزمان | برابر با هزینه نهایی (در کالای همگن) | بازار سوخت |
| استکلبرگ | مقدار تولید | ترتیبی (رهبر – دنبالهرو) | رهبر سود بیشتر دارد | بازار موبایل با یک برند پیشرو |
| رقابت کامل | هیچ قدرتی در بازار | باز | قیمت برابر هزینه نهایی | بازار گندم در کشورهای توسعهیافته |
جمعبندی
مدل کورنو یک چارچوب نظری مهم برای تحلیل رقابت در بازارهای اولیگوپولی است، جایی که چند شرکت بزرگ به طور همزمان و مستقل تصمیم به مقدار تولید میگیرند. تعادل حاصل، نشاندهنده تعامل استراتژیک بنگاهها و تأثیر تصمیم هرکدام بر کل بازار است.
درک مدل کورنو برای تحلیل رفتار شرکتها در بازارهای واقعی، بهویژه در صنایع انحصار چندجانبه، بسیار حیاتی است و یکی از ستونهای اصلی نظریه بازیها در اقتصاد صنعتی محسوب میشود.
سوالات متداول
1. رقابت کورنو چیست؟
رقابت کورنو مدلی در نظریه بازیها و اقتصاد صنعتی است که در آن چند بنگاه بهطور همزمان تصمیم میگیرند چه مقدار از یک کالای همگن را تولید کنند. قیمت نهایی کالا بر اساس مجموع تولید تعیین میشود و هر بنگاه در تلاش است سود خود را بیشینه کند.
2. در مدل کورنو، بنگاهها چه چیزی را انتخاب میکنند؟
در این مدل، تصمیم اصلی بنگاهها دربارهی مقدار تولید (output quantity) است، نه قیمت. قیمت به صورت غیرمستقیم و بر اساس مجموع عرضه در بازار تعیین میشود.
3. فرض اصلی مدل کورنو چیست؟
مهمترین فرض این است که هر بنگاه مقدار تولید رقبا را ثابت در نظر گرفته و تصمیم خود را براساس آن اتخاذ میکند. همچنین، فرض بر همگن بودن کالا و تصمیمگیری همزمان است.
4. تفاوت کورنو با برتراند چیست؟
در مدل برتراند، بنگاهها درباره قیمت کالا تصمیم میگیرند و معمولاً رقابت شدید باعث میشود قیمت به حداقل (هزینه نهایی) برسد. اما در کورنو، تصمیم بر سر مقدار تولید است و قیمت معمولاً بالاتر از هزینه نهایی خواهد بود.
5. تعادل کورنو چه ویژگی دارد؟
تعادل کورنو نوعی تعادل نش است که در آن هیچ بنگاهی نمیتواند با تغییر مقدار تولید خود (با فرض ثابت بودن مقدار رقبا) سود بیشتری کسب کند.
6. چه نوع بازارهایی با مدل کورنو تطابق دارند؟
بازارهایی با چند بنگاه محدود (اولیگوپولی) که کالاهای همگن تولید میکنند، مانند بازار سیمان، فولاد، برق، یا برخی محصولات شیمیایی، بیشترین تطابق را با مدل کورنو دارند.
7. آیا مدل کورنو در دنیای واقعی کاربرد دارد؟
بله، بهویژه در تحلیل بازارهایی که در آنها شرکتها قدرت بازار دارند ولی نه بهصورت کامل. مثلاً در بازار انرژی، پتروشیمی، یا فلزات پایه. مدل کورنو ابزار مناسبی برای پیشبینی تأثیر رقابت بر قیمت و سود بنگاههاست.
8. اگر تعداد بنگاهها زیاد شود، چه اتفاقی میافتد؟
با افزایش تعداد بنگاهها در مدل کورنو، نتیجه به رقابت کامل نزدیک میشود. یعنی قیمت به سمت هزینه نهایی حرکت میکند و سود بنگاهها کاهش مییابد.
9. چه انتقاداتی به مدل کورنو وارد است؟
برخی از انتقادات:
- فرض سادهسازیشده درباره همگن بودن کالا.
- تصمیمگیری همزمان و ایستا (غیر پویا).
- نادیدهگرفتن واکنشهای زمانی (مثلاً ورود یا خروج از بازار).
- در برخی بازارها، بنگاهها بیشتر درباره قیمت تصمیم میگیرند تا مقدار تولید.
10. مدل کورنو از چه نظریهای پشتیبانی میکند؟
مدل کورنو از نظریه بازیهای همزمان (Static Game of Complete Information) پشتیبانی میکند، که در آن بازیکنان به طور همزمان تصمیمگیری کرده و استراتژیها و ترجیحات یکدیگر را میدانند.

دیدگاهتان را بنویسید
برای نوشتن دیدگاه باید وارد بشوید.